Beta Distribution

  • Home /
  • Beta Distribution
img

Beta Distribution


Probability Density Function (PDF)

img

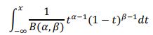
Cumulative Distribution Function (CDF)

img

where 𝐵 is the Beta function (see Functions below).


Range 0 ≤ 𝑥 ≤ 1

Shape1 parameter 𝛼 > 0

Shape2 parameter 𝛽 > 0

Define, Measure, Analyze, Improve, Control

img

Simulate, Optimize, Realize

img