Beta with Minimum and Maximum

  • Home /
  • Beta Dist Min Max
img

Beta Distribution with Minimum and Maximum


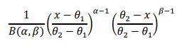
Probability Density Function (PDF)

img

Cumulative Distribution Function (CDF)

img

where 𝐵 is the Beta function.


Range 𝜃1 ≤ 𝑥 < 𝜃2

Shape1 parameter 𝛼 > 0

Shape2 parameter 𝛽 > 0

Minimum (lower threshold) 𝜃1

Maximum (upper threshold) 𝜃2


Notes: Estimation of the 4 parameter Beta distribution is undertaken in two parts. In the first part, initial parameter estimates are derived using the method of moments. The threshold parameters are then held using these values, and the shape parameters are then estimated using maximum likelihood.

Define, Measure, Analyze, Improve, Control

img

Simulate, Optimize, Realize

img