Binomial Distribution

  • Home /
  • Binomial Distribution
img

Binomial Distribution


The binomial pdf is the probability of 𝑥 successes in 𝑛 independent trials, where 𝑝 is the probability of success in any given trial.

Probability Density Function (PDF)

img

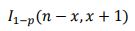
Cumulative Distribution Function (CDF)

img

where Ix(a, b) is the regularized incomplete Beta function.


Support 𝑥 ∈ {0, ..., 𝑛}

Probability parameter, 𝑝: 0 ≤ 𝑝 ≤ 1

Trials parameter, 𝑛: 𝑛 > 0

Define, Measure, Analyze, Improve, Control

img

Simulate, Optimize, Realize

img