BoxCox Distribution

  • Home /
  • BoxCox Distribution
img

BoxCox Distribution

Probability Density Function (PDF)

img

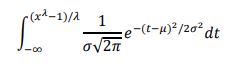
Cumulative Distribution Function (CDF)

img

Range 0 < 𝑥 < ∞

Location parameter, 𝜇, the mean

Scale parameter, 𝜎 > 0, the standard deviation

Shape parameter 𝜆


Notes: The concentrated likelihood is used in the ML estimation. This implies that the location and scale parameters are not estimated freely, but are derived as the mean and standard deviation of the BoxCox transformed variate.

Define, Measure, Analyze, Improve, Control

img

Simulate, Optimize, Realize

img