Burr Distribution

  • Home /
  • Burr Threshold
img

Burr Distribution with Threshold

Probability Density Function (PDF)

img

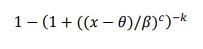
Cumulative Distribution Function (CDF)

img

Range 0 ≤ 𝑥 - 𝜃 < ∞

Scale parameter, 𝛽 > 0

Shape parameter, 𝑐 > 0

Shape parameter, 𝑘 > 0

Threshold parameter 𝜃 < 𝑚𝑖𝑛(𝑥)

Define, Measure, Analyze, Improve, Control

img

Simulate, Optimize, Realize

img