Chi-Squared Distribution with Scale and Threshold

  • Home /
  • Chi-Squared Dist Scale (threshold)
img

Chisq3: Chi-Squared Distribution with Scale and Threshold

Probability Density Function (PDF)

img

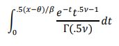
Cumulative Distribution Function (CDF)

img

where 𝛤 is the Gamma function.


Range 0 ≤ 𝑥 - 𝜃 < ∞

Shape parameter 𝜈 > 0

Scale parameter 𝛽 > 0

Threshold parameter 𝜃 < 𝑚𝑖𝑛(𝑥)

Define, Measure, Analyze, Improve, Control

img

Simulate, Optimize, Realize

img