F Distribution with Threshold

  • Home /
  • F Distribution with Threshold
img

F Distribution with Scale and Threshold

Probability Density Function (PDF)

img

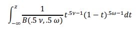
Cumulative Distribution Function (CDF)

img
img

Range 0 ≤ 𝑥 - 𝜃 < ∞

Scale parameter 𝛼 > 0

Shape Parameter 𝜈 > 0

Shape parameter 𝜔 > 0

Threshold parameter 𝜃 < 𝑚𝑖𝑛(𝑥)

Define, Measure, Analyze, Improve, Control

img

Simulate, Optimize, Realize

img