Fatigue Life Distribution

  • Home /
  • Fatigue Dist
img

Fatigue Life Distribution

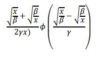
Probability Density Function (PDF)

img

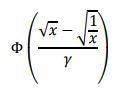
Cumulative Distribution Function (CDF)

img

where 𝜙(𝑥) and Φ(𝑥) are respectively the PDF and CDF of the standard normal distribution.


Range 0 ≤ 𝑥 < ∞

Scale parameter 𝛽 > 0

Shape parameter 𝛾 > 0


Notes: This is also known as the Birnbaum Saunders distribution.

Define, Measure, Analyze, Improve, Control

img

Simulate, Optimize, Realize

img