Gamma Distribution with Threshold

  • Home /
  • Gamma Dis with Threshold
img

Gamma Distribution with Threshold

Probability Density Function (PDF)

img

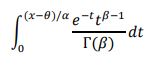
Cumulative Distribution Function (CDF)

img

where 𝛤(𝛽) is the Gamma function:

Range 0 ≤ 𝑥 - 𝜃 < ∞

Scale parameter, 𝛼 > 0

Shape parameter, 𝛽 > 0

Threshold parameter 𝜃 < 𝑚𝑖𝑛(𝑥)


Define, Measure, Analyze, Improve, Control

img

Simulate, Optimize, Realize

img