Generalized Error Distribution

  • Home /
  • Generalized Error Dist
img

Generalized Error Distribution

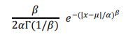
Probability Density Function (PDF)

img

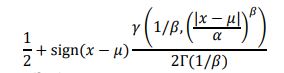
Cumulative Distribution Function (CDF)

img

where 𝛤(𝛽) is the Gamma function and 𝛾(𝑘, 𝑧) is the lower incomplete Gamma function.

Range -∞ < 𝑥 < ∞

Location parameter 𝜇

Scale Parameter 𝛼 > 0

Shape parameter 𝛽 > 0


Notes: This is also known as the Exponential Power distribution or the Generalized Normal distribution.

Define, Measure, Analyze, Improve, Control

img

Simulate, Optimize, Realize

img