Generalized Gamma Distribution

  • Home /
  • Generalized Gamma Dist
img

Generalized Gamma Distribution

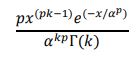
Probability Density Function (PDF)

img

Cumulative Distribution Function (CDF)

img

where 𝛤(𝛽) is the Gamma function and 𝛾(𝑘, 𝑧) is the lower incomplete Gamma function.

Range 0 ≤ 𝑥 < ∞

Scale Parameter 𝛼 > 0

Shape1 parameter 𝑘 > 0

Shape2 parameter 𝑝 > 0


Define, Measure, Analyze, Improve, Control

img

Simulate, Optimize, Realize

img