Generalized Gamma Distribution with Threshold

  • Home /
  • General Log Dist
img

Generalized Gamma Distribution with Threshold

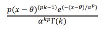
Probability Density Function (PDF)

img

Cumulative Distribution Function (CDF)

img

where 𝛤(𝛽) is the Gamma function and 𝛾(𝑘, 𝑧) is the lower incomplete Gamma function.

Range 0 ≤ 𝑥 - 𝜃 < ∞

Scale Parameter 𝛼 > 0

Shape1 parameter 𝑘 > 0

Shape1 parameter 𝑝 > 0

Threshold parameter 𝜃 < 𝑚𝑖𝑛(𝑥)


Define, Measure, Analyze, Improve, Control

img

Simulate, Optimize, Realize

img