Generalized Logistic Distribution

  • Home /
  • General Log Dist
img

Generalized Logistic Distribution

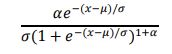
Probability Density Function (PDF)

img

Cumulative Distribution Function (CDF)

img

Range -∞ < 𝑥 < ∞

Location parameter, 𝜇

Scale parameter 𝜎 > 0

Skew parameter 𝛼, < 1 for left skew, > 1 for right skew.


Notes: This is a Type I Generalized Logistic distribution; it is also known as the Skew-Logistic distribution.

Define, Measure, Analyze, Improve, Control

img

Simulate, Optimize, Realize

img