Hypergeometric Distribution

  • Home /
  • Hypergeometric Distribution
img

Hypergeometric Distribution


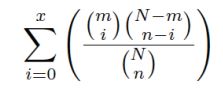
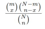
The Hypergeometric pdf is the probability of drawing 𝑥 successes in 𝑛 draws, without replacement, from a population of size 𝑁 which contains 𝑚 successes.


Probability Density Function (PDF)

img

Cumulative Distribution Function (CDF)

img

Support 𝑥 ∈ {1,2,3,...}

Population parameter, 𝑁: 𝑁 > 0

Success parameter, 𝑚: 𝑚 > 0

Sample parameter, 𝑛: 𝑛 > 0


Define, Measure, Analyze, Improve, Control

img

Simulate, Optimize, Realize

img