Inverse Gamma Distribution

  • Home /
  • Inverse Gamma Distribution
img

Inverse Gamma Distribution

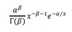
Probability Density Function (PDF)

img

Cumulative Distribution Function (CDF)

img

where 𝛤(s) is the gamma function, and 𝛾(s, x) is the lower incomplete gamma function.


Range 0 ≤ 𝑥 < ∞

Scale parameter 𝛼 > 0

Shape parameter 𝛽 > 0


Define, Measure, Analyze, Improve, Control

img

Simulate, Optimize, Realize

img