Inverse Gamma Distribution with Threshold

  • Home /
  • Inverse Gamma Threshold
img

Inverse Gamma Distribution with Threshold

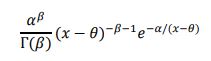
Probability Density Function (PDF)

img

Cumulative Distribution Function (CDF)

img

where 𝛤(s) is the gamma function, and 𝛾(s, 𝑥) is the lower incomplete gamma function.


Range 0 ≤ 𝑥 - 𝜃 < ∞

Scale parameter 𝛼 > 0

Shape parameter 𝛽 > 0

Threshold parameter 𝜃 < min(𝑥)


Define, Measure, Analyze, Improve, Control

img

Simulate, Optimize, Realize

img