Inverse Gaussian

  • Home /
  • Inverse Gaussian Distribution
img

Inverse Gaussian Distribution

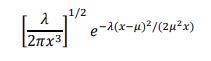
Probability Density Function (PDF)

img

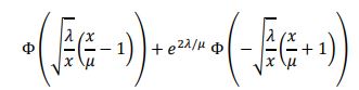
Cumulative Distribution Function (CDF)

img

where Φ(𝑥) is the CDF of the standard normal distribution.


Range 0 < 𝑥 < ∞

Location parameter, 𝜇, the mean

Shape parameter 𝜆 > 0


Define, Measure, Analyze, Improve, Control

img

Simulate, Optimize, Realize

img