Johnson SL Distribution

  • Home /
  • Johnson SL Distribution
img

Johnson SL Distribution

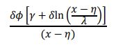
Probability Density Function (PDF)

img

Cumulative Distribution Function (CDF)

img

where 𝜙(𝑥) and Φ(𝑥) are respectively the PDF and CDF of the standard normal distribution.


Range -𝜂 < 𝑥 < ∞

Location parameter, 𝜂, the mean

Scale parameter 𝜆 = 1

Shape1 parameter 𝛾

Shape2 parameter 𝛿 > 0


Define, Measure, Analyze, Improve, Control

img

Simulate, Optimize, Realize

img