Johnson SU Distribution

  • Home /
  • Johnson SU Distribution
img

Johnson SU Distribution

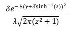
Probability Density Function (PDF)

img

Cumulative Distribution Function (CDF)

img

where z = (𝑥 - 𝜂)/𝜆 and Φ(𝑥) is the CDF of the standard normal distribution.


Range -∞ < 𝑥 < ∞

Location parameter, 𝜂, the mean

Scale parameter 𝜆 > 0

Shape1 parameter 𝛾

Shape2 parameter 𝛿 > 0


Define, Measure, Analyze, Improve, Control

img

Simulate, Optimize, Realize

img