Log Normal

img

Log Normal Distribution

Probability Density Function (PDF)

img

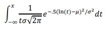
Cumulative Distribution Function (CDF) (x ≥ 0)

img

Range 0 < 𝑥 < ∞

Location parameter, 𝜇, the mean of ln(𝑥)

Scale parameter, 𝜎 > 0, the standard deviation of ln(𝑥)


Define, Measure, Analyze, Improve, Control

img

Simulate, Optimize, Realize

img