Log Normal Distribution

  • Home /
  • Log Normal Distribution
img

Log Normal Distribution with Threshold

Probability Density Function (PDF)

img

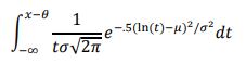
Cumulative Distribution Function (CDF)

img

Range 0 < 𝑥 - 𝜃 < ∞

Scale parameter, 𝜇, the mean of ln(𝑥)

Shape parameter, 𝜎 > 0, the standard deviation of ln(𝑥)

Threshold parameter 𝜃 < min(𝑥)


Define, Measure, Analyze, Improve, Control

img

Simulate, Optimize, Realize

img