Non-Central Chi-Squared

  • Home /
  • Non-Central Chi-Squared Threshold
img

Non-Central Chi-Squared Distribution with Threshold

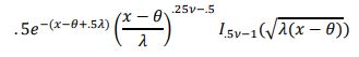
Probability Density Function (PDF)

img

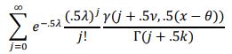
Cumulative Distribution Function (CDF)

img

where 𝛤(s) is the gamma function, 𝛾(s, x) is the lower incomplete gamma function and 𝛪 is the modified Bessel function of the first kind.

Range 0 ≤ 𝑥 - 𝜃 < ∞.
Shape parameter 𝜈 > 0.
Non-centrality parameter 𝜆 > 0.
Threshold parameter 𝜃 < min(𝑥).


Define, Measure, Analyze, Improve, Control

img

Simulate, Optimize, Realize

img