Non-Central F Distribution

  • Home /
  • Non-Central F Distribution
img

Non-Central F Distribution

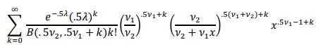
Probability Density Function (PDF)

img

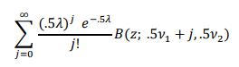
Cumulative Distribution Function (CDF) (x ≥ 0)

img
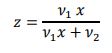
where
img

where B(a, b) is the beta function, and B(z; a, b) is the incomplete beta function.

Range 0 ≤ 𝑥 < ∞

Shape parameter v1 > 0

Shape parameter v2 > 0

Non-centrality parameter 𝜆 > 0


Define, Measure, Analyze, Improve, Control

img

Simulate, Optimize, Realize

img