Non-Central T Distribution

  • Home /
  • Non-Central T Distribution
img

Non-Central T Distribution

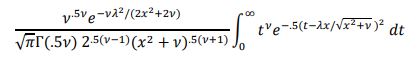
Probability Density Function (PDF)

img

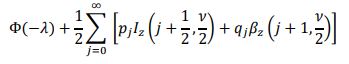
Cumulative Distribution Function (CDF) (x â‰Ĩ 0)

img
where
img

and where ÎĻ is the standard normal CDF, 𝛤 is the gamma function, and đ›Ēz(a, b) is the regularized incomplete beta function.

Range -∞ < đ‘Ĩ < ∞

Shape parameter 𝜈 > 0

Non-centrality parameter 𝜆 > 0


Define, Measure, Analyze, Improve, Control

img

Simulate, Optimize, Realize

img