PERT Distribution

  • Home /
  • PERT Distribution
img

PERT Distribution

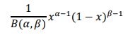
Probability Density Function (PDF)

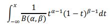
img

Cumulative Distribution Function (CDF)

img

where B is the Beta function.


Range 𝑙𝑏 ≀ π‘₯ ≀ 𝑒𝑏

Parameter 𝑙𝑏: 𝑙𝑏 < 𝑧min, the lower bound of 𝑧

Parameter 𝑒𝑏: 𝑧max < 𝑒𝑏, the upper bound of 𝑧

Parameter πœ‚: 𝑙𝑏 < πœ‚ < 𝑒𝑏, the mode of 𝑧



Notes: The PERT argument 𝑧 and the three parameters, 𝑙𝑏, 𝑒𝑏 and πœ‚ are transformed using the PERT transform; the resulting argument, π‘₯ is distributed Beta, with shape parameters 𝛼 and 𝛽.

Define, Measure, Analyze, Improve, Control

img

Simulate, Optimize, Realize

img