Poisson Distribution

  • Home /
  • Poisson Distribution
img

Poisson Distribution

The Poisson pdf is the probability of 𝑥 events occurring within a period, where 𝜆 is the expected number of events in that period.

Probability Density Function (PDF)

img

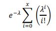
Cumulative Distribution Function (CDF)

img

Support 𝑥 ∈ {1,2,3, ...}

Event parameter, 𝜆: 𝑟 > 0, the mean of 𝑥

Define, Measure, Analyze, Improve, Control

img

Simulate, Optimize, Realize

img