Skew Normal Distribution

  • Home /
  • Skew Normal Distribution
img

Skew Normal Distribution

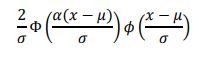
Probability Density Function (PDF)

img

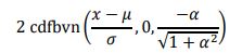
Cumulative Distribution Function (CDF)

img

where 𝜙(𝑥) and Φ(𝑥) are respectively the PDF and CDF of the standard normal distribution, and cdfbvn is the cumulative standardized bivariate normal distribution.

Range -∞ < 𝑥 < ∞

Location parameter, 𝜇

Scale parameter 𝜎 > 0

Skew parameter 𝛼, negative for left skew, positive for right skew

Define, Measure, Analyze, Improve, Control

img

Simulate, Optimize, Realize

img