Step Distributions

  • Home /
  • Step Distributions
img
The step pdf is the same for each step.

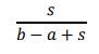
Probability Density Function (PDF)

img

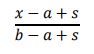
Cumulative Distribution Function (CDF)

img

where

img

Support π‘₯ ∈ {π‘Ž,...,𝑏}

Parameter π‘Ž: π‘Ž ≀ π‘₯min, the lower bound of π‘₯

Parameter 𝑏: π‘₯max ≀ 𝑏, the upper bound of π‘₯

Parameter 𝑠, the stepsize

Define, Measure, Analyze, Improve, Control

img

Simulate, Optimize, Realize

img