Student's T Distribution with Location

  • Home /
  • Student T Distribution Location
img

Student's T Distribution with Location and Scale

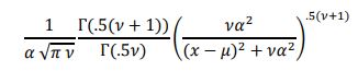
Probability Density Function (PDF)

img

Cumulative Distribution Function (CDF)

img

where

img

and where 𝛤 is the gamma function, and đ›Ēz(𝑎, 𝑏) is the regularized incomplete beta function

Range -∞ < đ‘Ĩ < ∞

Location parameter 𝜇

Scale parameter đ›ŧ > 0

Shape parameter 𝜈 > 0

Define, Measure, Analyze, Improve, Control

img

Simulate, Optimize, Realize

img