Triangular Distribution

  • Home /
  • Triangular Distribution
img

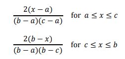
Probability Density Function (PDF)

img

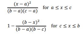
Cumulative Distribution Function (CDF)

img

Range π‘Ž ≀ π‘₯ ≀ 𝑏

Parameter π‘Ž: π‘Ž ≀ π‘₯min, the lower bound of π‘₯

Parameter 𝑏: π‘₯max ≀ 𝑏, the upperbound of π‘₯

Parameter 𝑐: π‘Ž < 𝑐 < 𝑏, the mode of π‘₯

Define, Measure, Analyze, Improve, Control

img

Simulate, Optimize, Realize

img