Von Mises Distribution

  • Home /
  • Von Mises Distribution
img

Von Mises Distribution

Probability Density Function (PDF)

img

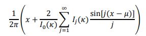
Cumulative Distribution Function (CDF)

img

where đ›Ēj(đ‘Ĩ) is the modified Bassel function of order j.

Range 0 ≤ đ‘Ĩ < 2𝜋

Location parameter, 𝜇: 0 ≤ 𝜇 ≤ 2𝜋

Shape parameter 𝜅 > 0

Define, Measure, Analyze, Improve, Control

img

Simulate, Optimize, Realize

img