Value Analysis

  • Home /
  • Value Analysis
img

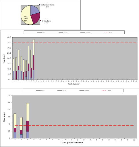
Lean - Value Analysis/Process Load Balance

Click SigmaXL > Templates & Calculators > Lean > Value Analysis/Process Load Balance to access the Value Analysis/Process Load Balance template. The template gives the following default example:

img
img

Define, Measure, Analyze, Improve, Control

img

Simulate, Optimize, Realize

img